勾股定理

手机游戏开发者 2024-9-23 08:23:23 277 0
在这段时间,我们探索了勾股定理。那下面叫我来分享一下我们的探索进程。
我们会把勾股定理分成浪漫、正确、综合应用和将来发展四个板块。先来说一说,第一个板块——浪漫。我们也可以把它明白为对三角形的一个重温。
起首呢,我们要知道三角形的界说是什么?三条线段首尾相连围成的封闭图形叫三角形。那么,对于一个三角形会有哪些性子呢?固然有我们所知道的内角和为180度;三角形的一个外角度数便是这个角不相邻的两个角的度数和;两边之和和大于第三边和两边之差小于第三边。
对于直接三角形呢?他的角和边分别具有哪些性子?关于角有一个界说:一个角的度数为90度,别的两个角互余。关于边,就是斜边最长。那直角三角形的三边都不会有怎样的特殊数量关系?
我们会发现正方形的对角线,没法用一个正确的数来表现,我们只能给开他一个范围,以是这道题也就是在引导我们去发现直角三角形三边的数量关系。
我们可以举如许个例子,画出一个直角三角形,使其两条直角边的长度分别为3cm和4cm,然后量出斜边的长为多少。通过绘图,我们可以得出斜边的长度为5cm。那么此时我们能不能意料,三边长的平方之间会有怎样的关系呢?你会发现3的平方=9,4的平方=16,5的平方=25,而9+16=25,也就是3的平方+4的平方=5的平方。以是我们能推测:在直角三角形中,两条直角边的平方和便是斜边的平方。
好,既然已经有了意料,就可以对此举行一步步地证明了。如图:

2.jpg 图中的直角三角形三边的平方,满意我们上面所意料的数量关系吗?我们可以对此举行计算。如图我们可知到,直角三角形的三边分别为abc,我们的意料是a方加B方便是C方。那你再过细想想,a方是不是就是正方形的面积吗。那么以边长a所构成的这个正方形,我们先称为“正方形a”。我们知道,一个小格的长度为1,那么边长a的长度就应该是3,正方形的面积也就是a方便是9。那你再看边长b所构成的正方形,它的边长长度也为3,以是正方形B的面积也便是9。接下来就是边长c。我们会发现c它是一个斜边,你没法直接的求出它的肉眼看出它的真实长度,以是我们就可以用到“割补法”。如图:

此中左边为割的方法,右边为补的办法。所谓割就是把这个正方形c分成4个小直角三角形。而补呢,则是把它补成一个大正方形,然后再减去4个小直角三角形。以是我们可以通过恣意一种方法得出正方形c的面积为18。那么现在,我们得出的效果是a方=9,B方=9,C方=18,那也就证明了我们刚才的意料,a方+b方=c方。

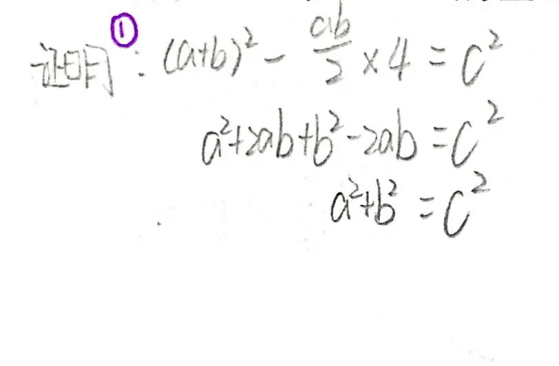
可是如许的一个意料能否作为界说呢?不能。为什么呢?由于以上的种种都是特例,我们在证名的过程中,用的是数格子的方法,但真正的证明是要脱离网格图,去用字母证明(最简单的方法)。下面,让我们来一起证明吧。如图:

我们固然同样意料ABC的关系为a方加B方便是C方。那么在如许一个图形中,我们必要先把其他所对应ABC的边给标出来。然后求出它们的面积含有ABC的关系式。如右半边所示。然后用刚才所知道的一个大正方形减去4个小三角形就便是正方形c了。如图:

5.jpg 固然,也可以用割的办法,我在此就不说了,展示一下过程



除了正方形的证明方法,还可以用题型来验证勾股定理。如图:

8.jpg

证明完勾股定理后,让我们再用尺度三种的数学语言来总结一下。如图:

证明完了勾股定理,你有没有想过他会像我们其时的平行线一样,拥有互逆的性子定理和判断定理?没错,勾股定理也有它的逆定理。勾股定理我们知道是已知直角三角形,去求三边。那逆定理,你就应该会想到是已知三边的关系,然后去求三角形是否为直角三角形。那下面,就让我们来睁开证明吧。如图:

已知三角形ABC的三边长abc满意a方+b方=c方,我们要求角C便是90度。那我们该怎么证明呢?我们可以画一个直角三角形A'B'C',且A'C'便是AC,B'C'便是BC。然后可以用勾股定理得出A'B'=AB,然后再用SSS证出全等就可以求出了。过程如下:

我们也同样在用三种数学语言来总结一下。

那你又有没有想过,证明直角三角形全等的方法有差异的?嗯,肯定有,我们称它为HL,证明过程如下:

最下面是它的符号语言。以上算是勾股定理的第二部门——正确。接下来,我们再来说一下综合应用。
对于综合应用部门,我们涉及到的就是用勾股定理大概是逆定理去求一些东西。固然在求的时间,最容易出现的两个“题目”就是“知一求二”和“知二求一”。

末了就是将来发展。可以把它分为横向发展和纵向发展。横向发展呢就是指向勾股数如许的方向探索,而纵向发展呢,“根号”(这章涉及到的符号)可以说是对于实数的一个浪漫。
这就是我们勾股定理的探索过程。
评论
登录 后才能评论

Powered by CangBaoKu v1.0 小黑屋藏宝库It社区( 冀ICP备14008649号 )

GMT+8, 2025-10-9 20:06, Processed in 0.127131 second(s), 35 queries.© 2003-2025 cbk Team.

快速回复 返回顶部 返回列表