跟着Nature Communications学作图:R语言ggplot2平滑曲线折线图

分享
计算机软件开发 2024-9-12 15:32:50 382 0 来自 中国
论文

A highly conserved core bacterial microbiota with nitrogen-fixation capacity inhabits the xylem sap in maize plants
https://www.nature.com/articles/s41467-022-31113-w
当地pdf s41467-022-31113-w.pdf
数据代码链接

https://github.com/PlantNutrition/Liyu
本日的推文我们重复一下论文中的Figure2e
关于平滑曲线,之前的推文有过先容,可以参考
我们看下这个论文里是用什么代码来实现的
示例数据集部分截图

2.png 读取数据

top_genus <- read.delim("data/20220616/top_genus.txt",                       header=T,                        row.names=1,                        sep="\t",                       stringsAsFactors = FALSE,                       check.names = FALSE)赋予因子程度

top_genus$Genus<-factor(  top_genus$Genus,  levels=c("Bacillus","Cronobacter",           "Unclassified_Enterobacterales",           "Klebsiella","antoea",           "seudomonas","Rosenbergiella"),   labels = c("Bacillus","Cronobacter",             "Unclassified_Enterobacterales",             "Klebsiella","antoea",             "seudomonas","Rosenbergiella"))预备配色

phy.cols <- c("#85BA8F", "#A3C8DC",              "#349839","#EA5D2D",              "#EABB77","#F09594","#2072A8")普通折线图的代码

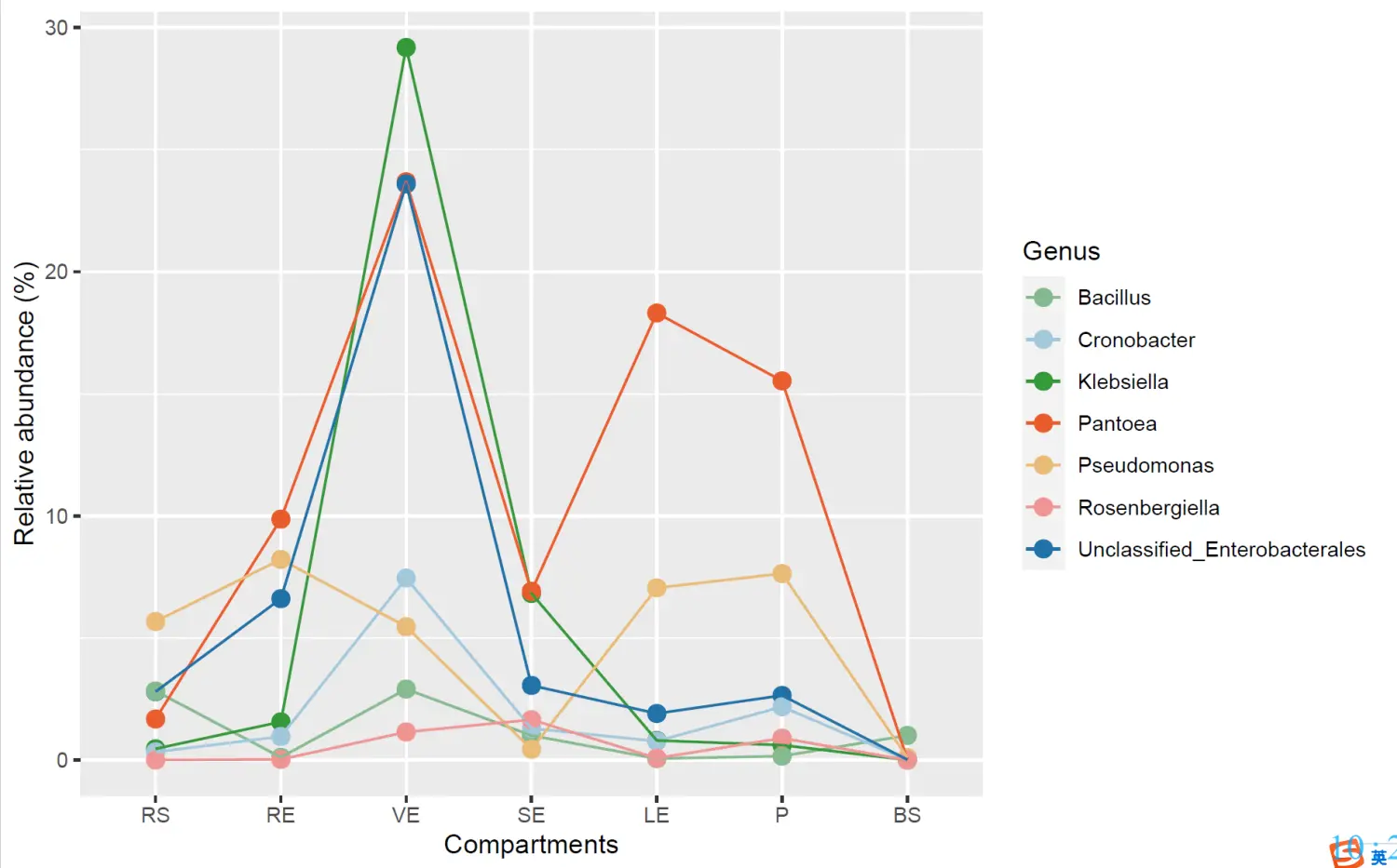
library(ggplot2)p=ggplot(data=top_genus,         aes(x=Compartment,y=RA,             group=Genus,colour=Genus))+  geom_point(size=3)+  labs(x="Compartments", y="Relative abundance (%)")+  geom_line()+  scale_x_discrete(limits=c("RS","RE","VE","SE","LE","","BS"))+  scale_colour_manual(values=phy.cols) p 3.png 论文中提供的代码没有效BS的数据,以是会有告诫信息
4.png 平滑曲线他用到的是 ggalt包中的 geom_xspline函数
library(ggalt)p2<-ggplot(data=top_genus,aes(x=Compartment,y=RA,                              group=Genus,colour=Genus))+  geom_point(size=3)+  labs(x="Compartments", y="Relative abundance (%)")+  geom_xspline(spline_shape = -0.5)+  scale_x_discrete(limits=c("RS","RE","VE","SE","LE",""))+  scale_colour_manual(values=phy.cols) p2拼图

mytheme = theme_bw() +  theme(axis.text.x = element_text(size = 8),axis.text.y = element_text(size = 8))+  theme(axis.title.y= element_text(size=12))+theme(axis.title.x = element_text(size = 12))+  theme(legend.title=element_text(size=5),legend.text=element_text(size=5))+theme(legend.position = "bottom")library(patchwork)p+mytheme + p2 + mytheme +  plot_layout(guides = "collect")+  plot_annotation(theme = theme(legend.position = "bottom")) 6.png
示例数据和代码可以到论文中去下载,大概直接在公众号配景留言20220616获取
欢迎各人关注我的公众号
小明的数据分析条记本
小明的数据分析条记本 公众号 重要分享:1、R语言和python做数据分析和数据可视化的简朴小例子;2、园艺植物相干转录组学、基因组学、群体遗传学文献阅读条记;3、生物信息学入门学习资料及本身的学习条记!
评论
登录 后才能评论

Powered by CangBaoKu v1.0 小黑屋藏宝库It社区( 冀ICP备14008649号 )

GMT+8, 2025-10-10 22:18, Processed in 0.136012 second(s), 35 queries.© 2003-2025 cbk Team.

快速回复 返回顶部 返回列表