跟着Nature Communications学作图:R语言ggplot2散点组合误差线展示响应比

开发者 2024-9-28 16:00:23 489 0
论文

Meta-analysis of the impacts of global change factors on soil microbial diversity and functionality
https://www.nature.com/articles/s41467-020-16881-7#Sec15
论文里提供了数据和代码,很好的学习素材
这篇论文是公众号的一位读者留言,说这篇论文提供了数据和代码,但是代码比较长,看起来比较吃力。我看了论文中提供的代码,大体上能够看懂,争取抽时间把论文中提供的代码都复现一下。因为论文中的图都对应着提供了作图数据,我们想复现论文中的图。关于用原始数据分析的部分后续有时间在单独介绍。
论文中提供的代码链接
https://static-content.springer.com/esm/art%3A10.1038%2Fs41467-020-16881-7/MediaObjects/41467_2020_16881_MOESM8_ESM.txt
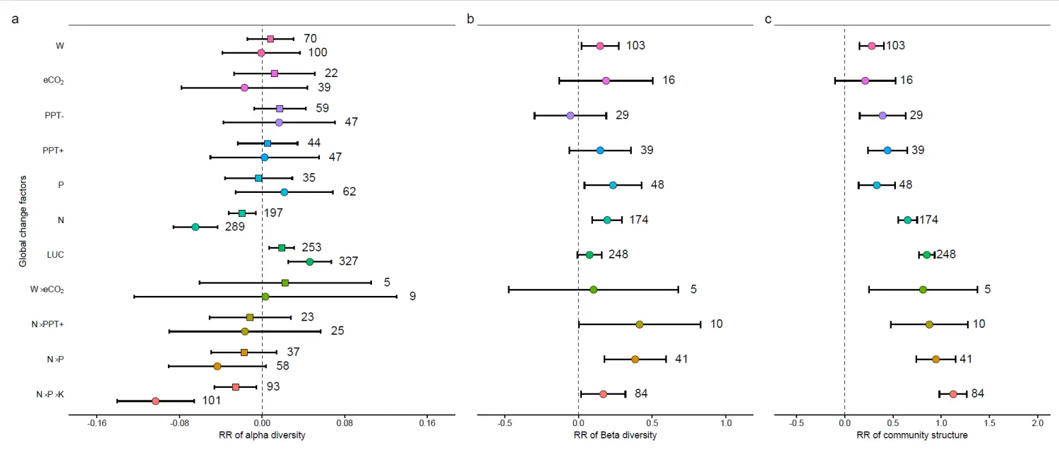
今天的推文我们复现论文中的figure1
1.png 论文中提供的作图数据如下,excel存储
加载需要用到的R包

library(readxl)library(tidyverse)library(latex2exp)library(ggplot2)读取数据

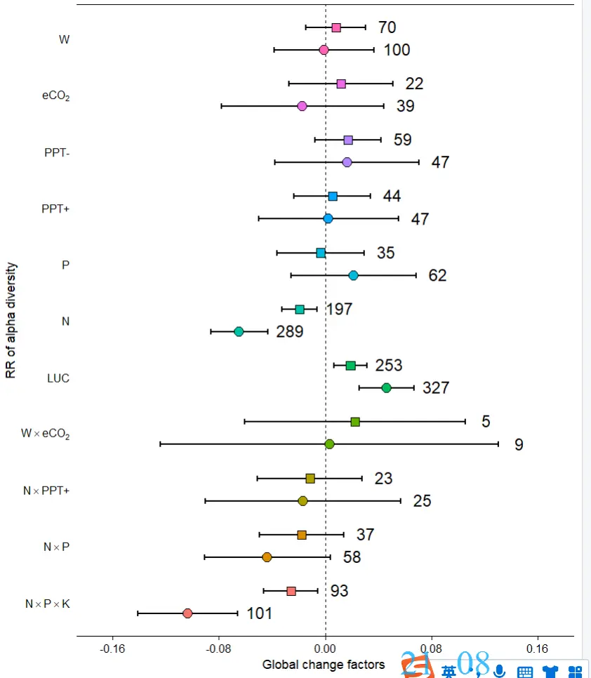
metaresult<-read_excel("data/20221129/41467_2020_16881_MOESM9_ESM.xlsx",                       sheet = 'Fig1')colnames(metaresult)首先是第一个小图a

论文中的代码是用RR作为Y轴,GCFs作为X轴,然后再通过coord_flip()函数整体旋转;论文中关于字体上小标是用expression函数实现的,这里我们使用latex2exp这个R包
代码我们参考论文中的代码,但是不完全按照他的写
数据整理和作图代码
data1<-metaresult %>%   filter(Variables=="Richness"|Variables=="Shannon")data1$GCFsdata1<-data1 %>%   mutate(GCFs=factor(GCFs,                     levels = c("N_P_K","N_P","N_PPT+",                                "W_eCO2","LUC","N","",                                "PT+","PT-","eCO2","W")))data1 %>% colnames()ggplot(data = data1,       aes(x=`Weighted means of RR`,           y=`GCFs`,           shape=Variables))+  geom_vline(xintercept=0,linetype = "dashed",size=0.2)+  geom_errorbarh(aes(xmin=`Lower confidence intervals`,                     xmax=`Upper confidence intervals`),                 position=position_dodge(0.8),                 height=0.2)+  geom_point(position=position_dodge(0.8),              size=3, stroke = 0.3,             aes(fill=GCFs),             show.legend = FALSE)+  geom_text(aes(y =`GCFs` , x = `Upper confidence intervals`+0.015,                 label = `Sample sizes`),            position = position_dodge(width = 0.8),            vjust = 0.4, hjust=0.4, size = 4,             check_overlap = FALSE)+  geom_segment(y = 11.6, x = -Inf,                yend = 11.6, xend = Inf,                colour = "black",size=0.4)+  scale_shape_manual(values=c("Richness"=21,"Shannon"=22))+  scale_x_continuous(limits=c(-0.17,0.17),                     breaks = c(-0.16,-0.08,0,0.08,0.16))+  scale_y_discrete(breaks=c("N_P_K","N_P","N_PPT+",                            "W_eCO2","LUC","N","",                            "PT+","PT-","eCO2","W"),                   labels=c(TeX(r"($N \times P \times K$)"),                            TeX(r"($N \times P$)"),                            TeX(r"($N \times PPT$+)"),                            TeX(r"($W \times eCO_2$)"),                            "LUC","N","","PT+","PT-",                            TeX(r"($eCO_2$)"),                            "W"))+  labs(x = "Global change factors ", y = "RR of alpha diversity",colour = 'black')+  theme(legend.title = element_blank(),        legend.position=c(0.2,0.94),        legend.key = element_rect(fill = "white",size = 2),        legend.key.width = unit(0.5,"lines"),        legend.key.height= unit(0.8,"lines"),        legend.background = element_blank(),        legend.text=element_text(size=6),        panel.background = element_rect(fill = 'white', colour = 'white'),        axis.title=element_text(size=9),        axis.text.y = element_text(colour = 'black', size = 8),        axis.text.x = element_text(colour = 'black', size = 8),        axis.line = element_line(colour = 'black',size=0.4),        axis.line.y = element_blank(),        axis.ticks = element_line(colour = 'black',size=0.4),        axis.ticks.y = element_blank())输出结果
3.png 小图b

data2<-metaresult %>%   filter(Variables=="Beta Diversity")data2$GCFsdata2<-data2 %>%   mutate(GCFs=factor(GCFs,                     levels = c("N_P_K","N_P","N_PPT+",                                "W_eCO2","LUC","N","",                                "PPT+","PPT-","eCO2","W"))  )data2 %>% colnames()ggplot(data = data2,       aes(x=`Weighted means of RR`,           y=`GCFs`))+  geom_vline(xintercept=0,linetype = "dashed",size=0.2)+  geom_errorbarh(aes(xmin=`Lower confidence intervals`,                     xmax=`Upper confidence intervals`),                 height=0.2)+  geom_point(size=3, stroke = 0.3,             shape=21,             aes(fill=GCFs),             show.legend = FALSE)+  geom_text(aes(y =`GCFs` , x = `Upper confidence intervals`+0.1,                 label = `Sample sizes`),            #position = position_dodge(width = 0.8),            vjust = 0.4, hjust=0.4, size = 4,             check_overlap = FALSE)+  geom_segment(y = 11.6, x = -Inf,                yend = 11.6, xend = Inf,                colour = "black",size=0.4)+  scale_x_continuous(limits=c(-0.6,1.1),breaks = c(-0.5,0,0.5,1))+  scale_y_discrete(breaks=c("N_P_K","N_P","N_PPT+",                            "W_eCO2","LUC","N","P",                            "PPT+","PPT-","eCO2","W"),                   labels=c(TeX(r"($N \times P \times K$)"),                            TeX(r"($N \times P$)"),                            TeX(r"($N \times PPT$+)"),                            TeX(r"($W \times eCO_2$)"),                            "LUC","N","P","PPT+","PPT-",                            TeX(r"($eCO_2$)"),                            "W"))+  labs(y = "Global change factors ",        x = "RR of alpha diversity",       colour = 'black')+  theme(legend.title = element_blank(),        legend.position=c(0.2,0.9),        legend.key = element_rect(fill = "white",size = 2),        legend.key.width = unit(0.5,"lines"),        legend.key.height= unit(0.8,"lines"),        legend.background = element_blank(),        legend.text=element_text(size=6),        panel.background = element_rect(fill = 'white', colour = 'white'),        axis.title=element_text(size=9),        axis.text.y = element_text(colour = 'black', size = 8),        axis.text.x = element_text(colour = 'black', size = 8),        axis.line = element_line(colour = 'black',size=0.4),        axis.line.y = element_blank(),        axis.ticks = element_line(colour = 'black',size=0.4),        axis.ticks.y = element_blank())小图c

data3<-metaresult %>%   filter(Variables=="Community structure")data3$GCFsdata3<-data3 %>%   mutate(GCFs=factor(GCFs,                     levels = c("N_P_K","N_P","N_PPT+",                                "W_eCO2","LUC","N","P",                                "PPT+","PPT-","eCO2","W"))  )data3 %>% colnames()ggplot(data = data3,       aes(x=`Weighted means of RR`,           y=`GCFs`))+  geom_vline(xintercept=0,linetype = "dashed",size=0.2)+  geom_errorbarh(aes(xmin=`Lower confidence intervals`,                     xmax=`Upper confidence intervals`),                 height=0.2)+  geom_point(size=3, stroke = 0.3,             shape=21,             aes(fill=GCFs),             show.legend = FALSE)+  geom_text(aes(y =`GCFs` , x = `Upper confidence intervals`+0.1,                 label = `Sample sizes`),            #position = position_dodge(width = 0.8),            vjust = 0.4, hjust=0.4, size = 4,             check_overlap = FALSE)+  geom_segment(y = 11.6, x = -Inf,                yend = 11.6, xend = Inf,                colour = "black",size=0.4)+  scale_x_continuous(limits=c(-0.6,2.0),breaks = c(-0.5,0,0.5,1,1.5,2.0))+  scale_y_discrete(breaks=c("N_P_K","N_P","N_PPT+",                            "W_eCO2","LUC","N","P",                            "PPT+","PPT-","eCO2","W"),                   labels=c(TeX(r"($N \times P \times K$)"),                            TeX(r"($N \times P$)"),                            TeX(r"($N \times PPT$+)"),                            TeX(r"($W \times eCO_2$)"),                            "LUC","N","P","PPT+","PPT-",                            TeX(r"($eCO_2$)"),                            "W"))+  labs(y = "Global change factors ",        x = "RR of community structure",       colour = 'black')+  theme(legend.title = element_blank(),        legend.position=c(0.2,0.9),        legend.key = element_rect(fill = "white",size = 2),        legend.key.width = unit(0.5,"lines"),        legend.key.height= unit(0.8,"lines"),        legend.background = element_blank(),        legend.text=element_text(size=6),        panel.background = element_rect(fill = 'white', colour = 'white'),        axis.title=element_text(size=9),        axis.text.y = element_text(colour = 'black', size = 8),        axis.text.x = element_text(colour = 'black', size = 8),        axis.line = element_line(colour = 'black',size=0.4),        axis.line.y = element_blank(),        axis.ticks = element_line(colour = 'black',size=0.4),        axis.ticks.y = element_blank())图b和图c是一样的
最后是拼图

论文中提供的拼图代码是用ggpubr这个R包做的
ggpubr::ggarrange(p1, p2, p3,           widths = c(7, 5, 5),          ncol = 3, nrow = 1,           labels = c("a", "b", "c"),           font.label=list(size=12),          hjust = 0, vjust = 1)我自己更习惯使用patchwork这个R包
library(patchwork)p1+  p2+theme(axis.text.y = element_blank(),           axis.title.y = element_blank())+  p3+theme(axis.text.y = element_blank(),           axis.title.y = element_blank())+  plot_annotation(tag_levels = "a")+  plot_layout(widths = c(7, 5, 5))最终结果
5.png
示例数据和代码可以自己到论文中下载,如果需要我推文中的代码和数据可以给公众号推文点赞,点击在看,最后留言获取
查rma()函数找到了这个链接
http://www.simonqueenborough.info/R/specialist/meta-analysis#:~:text=The%20function%20rma()%20(random,compute%20effect%20sizes%20before%20modelling.&text=Random%20effect%20model%20can%20be,%2D%2D%2DFixed%20effect%20model%20cannot.
http://www.simonqueenborough.info/R/intro/index.html
欢迎大家关注我的公众号
小明的数据分析笔记本
小明的数据分析笔记本 公众号 主要分享:1、R语言和python做数据分析和数据可视化的简单小例子;2、园艺植物相关转录组学、基因组学、群体遗传学文献阅读笔记;3、生物信息学入门学习资料及自己的学习笔记!
评论
登录 后才能评论

Powered by CangBaoKu v1.0 小黑屋藏宝库It社区( 冀ICP备14008649号 )

GMT+8, 2025-10-9 11:14, Processed in 0.160188 second(s), 35 queries.© 2003-2025 cbk Team.

快速回复 返回顶部 返回列表