图解LeetCode——11. 盛最多水的容器(难度:中等)

计算机软件开发 2024-10-7 19:10:51 619 0
一、标题

给定一个长度为 n 的整数数组 height 。有 n 条垂线,第 i 条线的两个端点是 (i, 0) 和 (i, height) 。
找出此中的两条线,使得它们与 x 轴共同构成的容器可以容纳最多的水,返回容器可以储存的最洪流量
说明:你不能倾斜容器。
二、示例

2.1> 示例 1:

【输入】[1,8,6,2,5,4,8,3,7]
【输出】49
【解释】图中垂直线代表输入数组 [1,8,6,2,5,4,8,3,7]。在此情况下,容器可以大概容纳水(表现为蓝色部分)的最大值为 49。
2.2> 示例 2:

【输入】height = [1,1]
【输出】1
提示:



  • n == height.length
  • 2 <= n <= 105
  • 0 <= height <= 104
三、解题思绪

3.1> 思绪1:双向指针

通过题意,我们会吸取到一个整数数组height,它里面有n个数值,代表木桩的高度。恣意两个木桩都可以与x轴组成一个容器水槽,那么哪个组合的水槽可以容纳更多的水呢?实在这道题里面有两个因素是盛水容量的关键点:一个是水槽x轴的长度,另一个就是两个木桩中最短的木桩高度。这两个值的乘积就是盛水容量的巨细了。
那么双向指针的解法就是创建两个指针——head头指针tail尾指针。最初head指向height数组中index=0的位置,tail指向height数组中index=height-1的位置。那么此时情况假设我们如下图所示,height[head]是小于height[tail]的,head指针与tail的指针长度为x(即:tail - head = height - 1 - 0),那么此时水槽可以承载的水容量就即是:height[head] * x。如下图所示:
那么根据双指针算法,我们需要让head指针大概tail指针向彼此靠拢,那么移动哪一个指针的?我们会根据对比两个木桩的高度,去移动谁人更短的。好比,head指针指向的木桩较短,那么我们将head指针向右移动。但是假如是tail指针指向的木桩较短,那么我们就将tail指针向左移动。当两个指针在某个位置相遇,则竣事整个过程。
那么有同学会问,为什么要这么对比呢?这道题,我们一样寻常来说,第一反应应该是两层for循环,即,先锁定第一个木桩,然后去依次对比其他的木桩,每次盘算容量,通过Math的max函数,只记载最大容量的。然后我们再锁定第二个木桩,再去对比其他的木桩(非第一个木桩),然后一次类推。这种方式是没错的,但是属于暴力破解的范畴了。那么,双向指针能包管盘算的正确性吗?
我们照旧以上面图为例,由于最初的head指向的木桩高度为height[0],tail指向的木桩高度为height[height.length - 1],他们之间的距离为x,由于height[0] 小于 height[height.length - 1],以是容器的盛水容量就是 height[0] * x,这里的x已经是最大值的,也就是说,无论head指针和tail指针怎么移动,两个指针之间的距离都不会大于x。那么实在我们就相称于“锁定”了最大容器底部x了,而每次无论移动head指针照旧tail指针,对于容器底部x的影响,都是不停在减小的,那么它的厘革是一个恒定减小的趋势。而在容器高度方面,确是一个厘革的,因为我们并不知道到底是head指向的木桩高,照旧tail指向的木桩高。
那么此时,我们第二个题目就是,怎么移动木桩呢?为什么要移动较短的呢?通过上面我们得出的公式height[head] * x(条件是head的木桩高度小于tail的木桩高度),那么假设我们移动更高的木桩——即tail指针,那么容器底部为:x - 1,由于没有移动较短的木桩height[head],以是无论tail指针全新指向的木桩高度是多高,总的容量高度都不会高出height[head]的高度,那么最大大概性容量就是:height[head] * (x - 1);那么此时假如我们移动更矮的木桩——即head指针,那么容器底部为:x - 1,由于没有移动较高的木桩height[tail],以是无论head指针全新指向的木桩高度是多高,总的容量高度都不会高出height[tail]的高度,那么最大大概性容量就是:height[tail] * (x - 1);那么由于head < tail,以是天然就得出了height[head] * (x - 1) <height[tail] * (x - 1)的结论。而本题是要获取最大盛水容量,以是,天然就要移动较矮的木桩了。详细如下图所示:
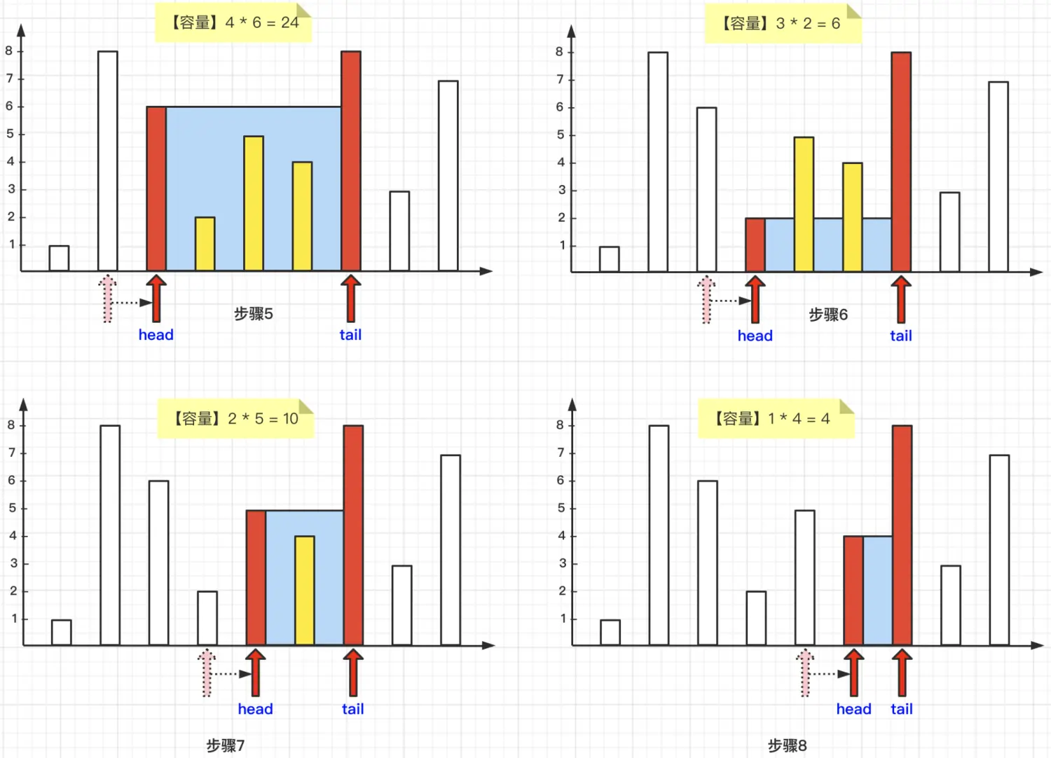
3.png 那么上面我们先容了怎样去盘算最大盛水容量,下面就以标题中的第一个示例1为例,通过每一步调执行的图解方式,完备的显现一次执行的全过程。那么示例1中,height数组中的元素为[1,8,6,2,5,4,8,3,7],我们依次通过移动head指针大概tail指针,而且盘算出每次的“最大容量” ,并通过Math的max函数,将终极的最大容量作为效果举行返回。下面是详细的8个执行步调,如下所示:
5.png 四、代码实现

4.1> 实现1:双向指针
评论
登录 后才能评论

Powered by CangBaoKu v1.0 小黑屋藏宝库It社区( 冀ICP备14008649号 )

GMT+8, 2025-10-9 13:29, Processed in 0.144080 second(s), 35 queries.© 2003-2025 cbk Team.

快速回复 返回顶部 返回列表