654. 最大二叉树(难度中等)

分享
手机游戏开发者 2024-10-7 14:21:35 923 0 来自 中国
标题链接:https://leetcode.cn/problems/maximum-binary-tree/
标题描述:

给定一个不重复的整数数组 nums 。 最大二叉树 可以用下面的算法从 nums 递归地构建:

  • 创建一个根节点,其值为 nums 中的最大值。
  • 递归地在最大值 左边子数组前缀上 构建左子树。
  • 递归地在最大值 右边子数组后缀上 构建右子树。
返回 nums 构建的 *最大二叉树*
示例 1:
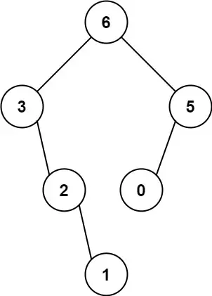
1.png 输入:nums = [3,2,1,6,0,5]输出:[6,3,5,null,2,0,null,null,1]表明:递归调用如下所示:- [3,2,1,6,0,5] 中的最大值是 6 ,左边部分是 [3,2,1] ,右边部分是 [0,5] 。    - [3,2,1] 中的最大值是 3 ,左边部分是 [] ,右边部分是 [2,1] 。        - 空数组,无子节点。        - [2,1] 中的最大值是 2 ,左边部分是 [] ,右边部分是 [1] 。            - 空数组,无子节点。            - 只有一个元素,以是子节点是一个值为 1 的节点。    - [0,5] 中的最大值是 5 ,左边部分是 [0] ,右边部分是 [] 。        - 只有一个元素,以是子节点是一个值为 0 的节点。        - 空数组,无子节点。示例 2:
输入:nums = [3,2,1]输出:[3,null,2,null,1]提示:

  • 1 <= nums.length <= 1000
  • 0 <= nums <= 1000
  • nums 中的全部整数 互不类似
解法:递归算法

二叉树标题,起首想到的应该就是递归,通太过析标题,标题意思如下:

  • 先找到数组中的最大元素,然后将其作为根节点,然后将左右两边数组分别构成左右子树。
递归:
(1)用left代表左界限,用right代表右界限。
(2)先找到最大的元素位置,将其设置为根节点。
(3)将数组分割,左边的递归构成左子树,右边的递归构成右子树。
(4)递归退出条件,left < right。
代码如下:
评论
登录 后才能评论

Powered by CangBaoKu v1.0 小黑屋藏宝库It社区( 冀ICP备14008649号 )

GMT+8, 2025-10-9 11:21, Processed in 0.116769 second(s), 35 queries.© 2003-2025 cbk Team.

快速回复 返回顶部 返回列表